1. zadatak

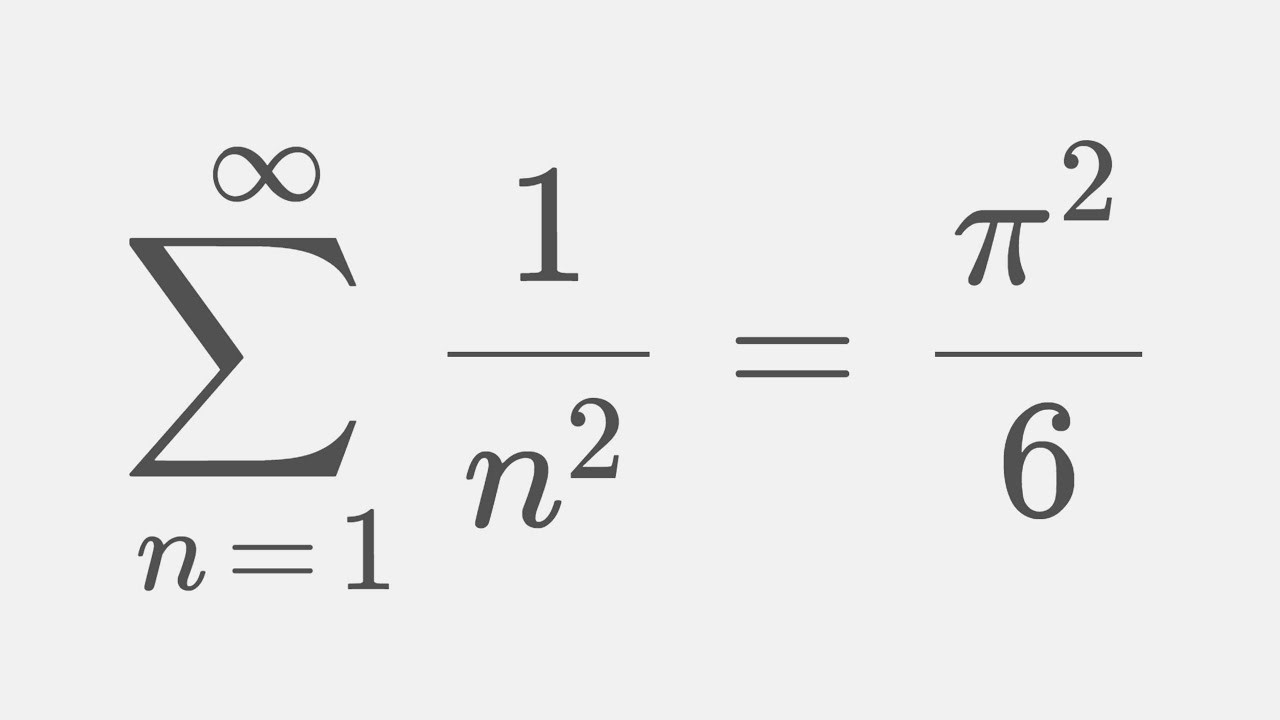
Baselski problem svodi se na pitanje kolika je vrijednost sume svih recipročnih vrijednosti kvadrata prirodnih brojeva. Baselskim problemom bavili su se poznati matematičari Jacob Bernoulli, Johann Bernoulli, Daniel Bernoulli, Leibniz, Stirling, de Moivre, John Wallis i mnogi drugi, ali dokazao ga je švicarski matematičar Leonhard Euler 1735. godine. Zaključio je da za Baselsku sumu vrijedi:

odnosno:

Zadatak: Odredi koliko iznosi zbroj prvih 20 pribrojnika ove sume.

Rezultat zaokruži na četiri decimale, a kao decimalnu točku koristi zarez.